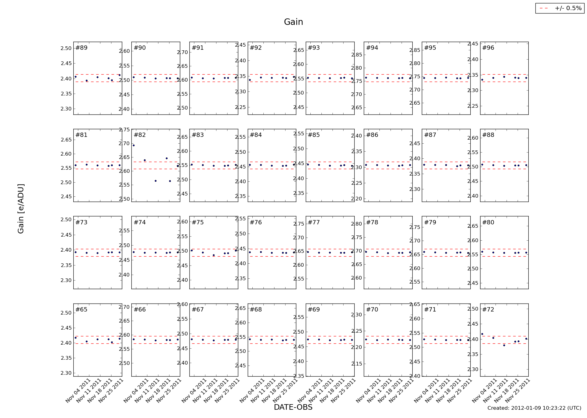
projects:omegacam:portal:gain_nov2011.png

gain_nov2011.png

calibration_trends

Date::
%2012/%01/%09 %11:%Jan
Filename::
gain_nov2011.png
Format::
PNG
Size::
205KB